AUCTORES
Globalize your Research
Research Article | DOI: https://doi.org/10.31579/2690-4861/811
1Department of Anesthesiology, Peking University Shenzhen Hospital, Shenzhen, Guangdong, China.
2Song Yinwei. Department of Ophthalmology, Shenzhen People’s Hospital (The Second Clinical Medical College, Jinan University; The First Affiliated Hospital, Southern University of Science and Technology), Shenzhen 518020, Guangdong, China.
3Huaiqi Zhang. Department of Pain, the Eighth Affiliated Hospital of Sun Yat-sen University, Shenzhen, Guangdong, China.
*Corresponding Author: Dongling Chen, Department of Anesthesiology, Peking University Shenzhen Hospital, Shenzhen, Guangdong, China.
Citation: Dongling Chen, Yinwei Song, Huaiqi Zhang, Yang Yu, Rong Wang, et al, (2025), Investigation of Shared Molecular Mechanisms Underlying Sepsis and Heart Failure via Integrated Analysis of Multiple Microarray Data, International Journal of Clinical Case Reports and Reviews, 31(3); DOI:10.31579/2690-4861/811
Copyright: © 2025, Dongling Chen. This is an open-access article distributed under the terms of the Creative Commons Attribution License, which permits unrestricted use, distribution, and reproduction in any medium, provided the original author and source are credited.
Received: 14 October 2025 | Accepted: 07 November 2025 | Published: 19 November 2025
Keywords: sepsis; heart failure; WGCNA; hub shared genes; diagnosis; immune infiltration
Background: This study aimed to explore shared genes and related molecular mechanisms of sepsis and heart failure (HF) to identify potential diagnostic biomarkers and therapeutic targets for both diseases.
Materials and methods: Differentially expressed genes (DEGs) in sepsis and HF were identified using datasets GSE28750 and GSE57345. WGCNA was conducted to uncover gene modules related to both diseases. Shared genes were identified and analyzed for function, PPI, and expression validation with datasets GSE65682 and GSE84796. Diagnostic performance, immune cell infiltration, and gene set enrichment analyses were performed on hub-shared genes.
Results: A total of 5407 DEGs in sepsis samples and 2042 DEGs in HF samples were identified based on the discovery datasets GSE28750 and GSE57345. WGCNA revealed five sepsis-related modules encompassing 2972 genes and three HF-related modules containing 982 genes. Notably, 170 shared genes were identified between the two diseases. PPI analysis and expression validation using external datasets led to the identification of four hub-shared genes: RRS1, IMP4, RPLP0, and NOP16. These four hub-shared genes exhibited high diagnostic performance, with Area Under Curve (AUC) values exceeding 0.7 in all four datasets. Furthermore, a significant negative correlation was observed between RRS1 and M0 macrophages, as well as between IMP4 and plasma cells, in both sepsis and HF. Additionally, these genes were significantly enriched in processes related to ribosome assembly and biogenesis.
Conclusion: The study successfully identified four genes, namely RRS1, IMP4, RPLP0, and NOP16, as potential key common regulators in sepsis and HF. These genes may serve as diagnostic biomarkers and therapeutic targets for both diseases, offering promising insights into the shared molecular mechanisms underlying sepsis and HF.
DEGs: Differentially Expressed Genes
WGCNA: Weighted Gene Coexpression Network Analysis
PPI: Protein-Protein Interaction
AUC: Area Under Curve
UPR: Unfolded Protein Response
HF: Heart Failure
RRS1: Ribosome Biogenesis Regulator 1 Homolog
IMP4: IMP U3 Small Nucleolar Ribonucleoprotein 4
RPLP0: Ribosomal Protein Lateral Stalk Subunit P0
NOP16: NOP16 Nucleolar Protein
MNC: Maximal Neighborhood Component
MCC: Maximal Clique Centrality
EPC: Edge Percolated Component
GO: Gene Ontology
KEGG: Kyoto Encyclopedia of Genes and Genomes
ROC: Receiver Operating Characteristic
GSEA: Gene Set Enrichment Analysis
Sepsis, a life-threatening organ dysfunction secondary to infection, affects more than 19 million people annually and is associated with high mortality rates [1][2]. It is also recognized as a significant risk factor for cardiovascular disease [3]. Despite advancements in treatment approaches, sepsis remains a frequent noncardiac diagnosis in the cardiac intensive care unit, highlighting the need for improved diagnostics and therapies [4][5]. Heart failure (HF), characterized by the heart’s inability to pump sufficient blood to meet the body’s requirements for nutrients and oxygen, is a common complication of sepsis [6]. The prognosis of HF is poor, with morbidity and mortality rates of approximately 50?ter one year of follow-up [7]. Alarmingly, the mortality rate of patients with combined sepsis and cardiac dysfunction can be as high as 90% [3]. Therefore, exploring the common pathogenesis of sepsis and HF is crucial for early diagnosis and improvement of clinical outcomes.
Sepsis is a systemic inflammatory response triggered by the excessive secretion of proinflammatory cytokines and reactive oxygen species [8]. This inflammatory response and oxygen depletion during sepsis can activate the unfolded protein response (UPR) in the heart, which is implicated in cardiovascular diseases, including HF [9][10]. Additionally, reactive species and free radicals can exacerbate endothelial deterioration and increase vascular permeability, accelerating the progression to septic HF [11][12]. These findings suggest a shared pathogenesis between sepsis and HF. However, despite clinical and mechanistic evidence of their relationship, the molecular mechanisms underlying this association remain largely unknown.
The advent of bioinformatics has revolutionized our ability to understand complex diseases like sepsis and HF. High-throughput technologies, such as microarray and RNA sequencing, have enabled the simultaneous analysis of thousands of genes, providing insights into disease pathogenesis at the molecular level [13][14]. Weighted gene coexpression network analysis (WGCNA) is one such approach that has been widely used to identify shared risk genes and mechanisms related to diverse disease phenotypes [15][16]. Protein-protein interaction (PPI) analysis further elucidates the functional significance of these genes by mapping their interactions within biological networks [17]. These bioinformatics tools have the potential to uncover the shared molecular mechanisms between sepsis and HF, offering new avenues for diagnosis and treatment.
In this study, our primary objective was to explore and understand the shared genetic mechanisms between sepsis and heart failure (HF). To achieve this, we leveraged multiple microarray datasets sourced from public databases. Our research purposes were two-fold: firstly, to identify the shared genes between sepsis and HF through rigorous differential expression analysis, and secondly, to delve deeper into the biological significance and functional roles of these genes. We employed differential expression analysis to pinpoint the genes that are commonly altered in both sepsis and HF. Subsequent to this, we utilized Weighted Gene Co-expression Network Analysis (WGCNA) to explore the coexpression patterns of these shared genes, aiming to unravel their potential interactions and regulatory networks. Functional enrichment analysis was then conducted to gain insights into the biological pathways and processes in which these genes are involved. Furthermore, we performed Protein-Protein Interaction (PPI) analysis and expression validation using additional validation datasets to identify hub-shared genes that may play pivotal roles in the pathogenesis of both sepsis and HF. These hub-shared genes represent potential biomarkers and therapeutic targets for these conditions. In addition to identifying and characterizing the shared genes, we also assessed the diagnostic performance of these genes, evaluated their association with immune cell infiltration, and conducted gene set enrichment analyses to further understand their roles in the disease processes. Our findings contribute significantly to expanding the current understanding of the common pathogenesis of sepsis and HF.
The significance of this study lies in its potential to pave the way for the development of novel biomarkers and therapeutic strategies for these conditions, which remain major health burdens worldwide. By unraveling the shared genetic mechanisms, we hope to facilitate more targeted and effective interventions, ultimately improving patient outcomes.
Data acquisition and preprocessing
The sepsis-related gene expression profiles GSE28750 and GSE65682 and HF-related gene expression profiles GSE57345 and GSE84796 were downloaded from the NCBI Gene Expression Omnibus (GEO) database [18]. GSE28750 and GSE57345 were utilized as discovery datasets, whereas GSE65682 and GSE84796 were used as validation datasets. The GSE84796 dataset includes 21 sepsis and 20 control samples, the GSE65682 dataset 760 sepsis and 42 control samples, the GSE57345 dataset 177 HF and 136 control samples, and the GSE84796 dataset 10 HF and 7 control samples. The mRNA probe expression matrix and corresponding platform annotation file were also downloaded[18]. Gene symbol transformation was performed, and probes that did not match the gene symbol were removed. For different probes mapped to the same gene, the average value was taken as the expression value of the gene. Since the data were downloaded from the public database GEO, ethical approval was not applicable and informed patient consent was not required.
Differential expression analysis
Based on the GSE28750 and GSE57345 discovery datasets, differentially expressed genes (DEGs) between disease and control samples were analyzed using the R limma package (version 3.48.3) [19]. The cutoff value was p.value adjusted by Benjamini‒Hochberg (BH) procedure < 0> 0.263.
WGCNA
Based on the GSE28750 and GSE57345 discovery datasets, the DEGs identified in sepsis and HF were subjected to WGCNA using the R WGCNA package (version 1.71) [20]. In brief, an adjacency matrix was built, and the power β was calculated to render R2 approximately 0.85. Gene coexpression modules were then obtained by a gene hierarchical clustering dendrogram. Genes were matched with different color modules by a dynamic tree cut, and the gene number in a module was more than 30. Genes that did not match the module were assigned to gray modules. Clinically related modules associated with sepsis and HF were identified by analysis of the correlation between the modules and clinical traits. Overlapping genes in the sepsis- and HF-related modules were obtained using Venn diagram analysis and were considered shared genes of the two diseases.
Functional enrichment analysis
To elucidate the potential function of the shared genes of the two diseases, Gene Ontology (GO) functions and Kyoto Encyclopedia of Genes and Genomes (KEGG) pathway enrichment analyses were conducted using the R cluster Profiler package (version 4.44) [21][22].
PPI network analysis
Using the STRING (version 11.0) database [23], a PPI network was constructed by the shared genes of two diseases and visualized using Cytoscape (version 3.9.2) [24]. The topological properties of nodes in the PPI network were analyzed using the cytoHubba plug-in, including maximal neighborhood component (MNC), maximal clique centrality (MCC), degree, and edge percolated component (EPC), and candidate hub-shared genes were obtained by intersection analysis of the top 10 genes obtained by four topological properties.
Validation of expression of candidate hub-shared genes
Differential expression of candidate hub-shared genes was validated using validation datasets (GSE65682 and GSE84796). Differential expression of candidate hub-shared genes between disease and control samples was analyzed using the Wilcoxon rank sum test; genes with the same expression difference in the discovery and validation datasets were considered hub-shared genes.
Evaluation of the diagnostic performance of hub-shared genes
Based on the gene expression data in the four datasets, receiver operating characteristic (ROC) analysis was conducted using the R pROC package (version 1.18.0) [25] to analyze the diagnostic performance of the hub-shared genes. A higher area under the ROC curve (AUC) indicated better diagnostic performance of the hub-shared genes.
Construction of the PPI network of hub-shared genes
Using the Gene MANIA database (http://genemania.org/), PPI analysis of hub-shared genes at the gene level was conducted to explore interconnections between proteins.
Association analysis of hub-shared genes and immune cell infiltration
Based on the GSE28750 and GSE57345 discovery datasets, the proportions of 22 kinds of immune cells in each sample were analyzed using the CIBERSORT algorithm [26]. The relationship between the hub-shared genes and 22 immune cells was explored with Spearman correlation analysis.
GSEA for hub-shared genes
Samples were divided into high- and low-expression groups based on each hub-shared gene. Differentially activated pathways between different expression groups were analyzed using GSEA. Specifically, with the KEGG and GO datasets in MSigDB v7.1 [27] as the enrichment background, GSEA for each gene was performed using GSEA (version 4.2.3) [28]. The cutoff value was p < 0>
Identification of DEGs in sepsis and HF
We performed differential expression analysis on the discovery datasets GSE28750 and GSE57345. Based on the GSE28750 dataset, 5407 DEGs between sepsis and control samples were identified, including 2040 up- and 3367 downregulated genes (figure. 1a). Based on the GSE57345 dataset, 2042 DEGs between HF and control samples were screened out, including 1067 up- and 975 downregulated genes (figure. 1b).

Figures: 1a,1b: Volcano plot showing differentially expressed genes between treatment conditions, with up-regulated genes (red) and down-regulated genes (blue) meeting significance thresholds of |log2FC| > 1 and -log10(p.adjust) > 1.3 (FDR-corrected p < 0>
Coexpression module analysis and identification of shared genes of sepsis and HF
We applied WGCNA to DEGs for construction of a coexpression network associated with sepsis based on GSE28750, and DEGs with similar expression features were assigned to modules. In this study, a power of 20 (scale-free R2 = 0.85) was selected to ensure a scale-free network (figure. 2a).

Figure: 2a: Analysis of Scale Independence and Mean Connectivity for GSE28750 with Different Soft Thresholds (powers)
Ten sepsis-related modules were obtained, with each color representing a different module (figure. 2b).

Figure: 2b: Dynamic Gene Modules Identification through Hierarchical Clustering Dendrogram with Modular Color Coding
Subsequently, the association between each module and the disease was evaluated by Spearman correlation analysis. The heatmap of module–trait relationships is shown in figure. 2c.

Figure: 2c: Correlation between gene - expression modules and health/sepsis trait
Five modules, including MEturquoise, MEpink, MEblack, MEbrown, and MEblue, had a high association with sepsis (|r| > 0.7, p < 0.05) and were considered sepsis-related modules. A total of 2972 genes were included in these modules. Similarly, the coexpression network associated with HF was established based on GSE57345. A power of 9 (scale-free R2 = 0.85) was selected to ensure a scale-free network (figure. 2d), and 9 HF-related modules were identified (figure. 2e).

Figure: 2d: Analysis of Scale - independence and Mean Connectivity for GSE57345 Dataset at Different Soft Threshold Powers.

Figure: 2e: Dynamic Tree Cut Identifies Distinct Gene Modules via Hierarchical Clustering and Modular Coloring
Subsequent correlation analysis showed that three modules, namely, Megreen, Mebrown, and Meblue, correlated significantly with HF (|r| > 0.7, p < 0>

Figure: 2f: Module - trait relationships between healthy and heart - failure states
These modules were selected as HF-related modules and contained 982 genes. A total of 170 shared genes of two diseases were obtained based on Venn diagram analysis of genes in sepsis- and HF-related modules (figure. 2g).

Figure: 2g: Overlap of gene - related data between GSE28750 and GSE57345 datasets, with 74% of genes unique to GSE28750, 21.5% unique to GSE57345, and 4.5% common to both.
Functional enrichment analysis
Functional enrichment analyses were conducted to elucidate the potential function of shared genes of the two diseases. As a result, 6 GO biological
process terms, such as macrophage activation, and 11 pathways, such as metabolic pathways, were significantly enriched by the shared genes of the two diseases (figure. 3a).

Figure: 3a: Enriched GO Terms and KEGG Pathways Analysis Results
Screening candidate hub-shared genes by PPI network analysis
Using the STRING database, a PPI network was constructed using the shared genes of the two diseases (figure. 3b).

Figure: 3b: Protein-Protein Interaction Network Analysis
The top 10 genes in the PPI network were screened based on four topological properties (MCC, MNC, degree, and EPC) (figure. 3c).

Figure: 3c: Four Network Metrics Visualizations: MCC, MNC, Degree, and EPC Connectivity Patterns
By intersection analysis, 9 overlapping genes were obtained (figure. 3d), including bystin-like (BYSL), ribosome biogenesis regulator 1 homolog (RRS1), IMP U3 small nucleolar ribonucleoprotein 4 (IMP4), BOP1 (ribosomal biogenesis factor (BOP1), FtsJ RNA 2'-O-methyltransferase 1 (FTSJ1), NOP2 nucleolar protein (NOP2), LTV1 ribosome biogenesis factor (LTV1), ribosomal protein lateral stalk subunit P0 (RPLP0), and NOP16 nucleolar protein (NOP16), which were identified as candidate hub-shared genes of the two diseases.

Figure: 3d: Venn Diagram of MNC, Degree, MCC, and EPC Overlaps with Numerical Distributions
Validation of expression of hub-shared genes
Using validation datasets (GSE65682 and GSE84796), we analyzed differential expression of the candidate hub-shared genes. Four candidate
hub-shared genes that had the same expression difference in the discovery and validation datasets were identified, including RRS1, IMP4, RPLP0, and NOP16, which were selected as hub-shared genes. These genes were all downregulated in sepsis and HF (figure. 3e).

Figure: 3e: Comparative Gene Expression Profiling of IMP4, NOP16, RPLP0, and RRS1 in Sepsis (GSE65682) and Heart Failure (GSE84796) Cohorts
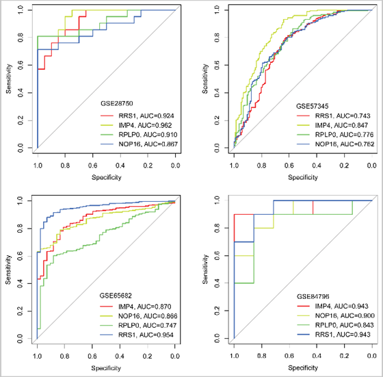
Evaluation of the diagnostic performance of hub-shared genes
The diagnostic performance of the four hub-shared genes was analyzed according to the gene expression data in all datasets. We found that the AUC values of the four hub-shared genes in the four datasets were all higher than 0.7 (figure. 4), revealing that all these hub-shared genes have high diagnostic performance.

Figure: 4: Comparative Performance of RRS1, IMP4, RPLP0, and NOP16 Biomarkers Across Multiple Datasets: AUC Values and ROC Curves
Construction of the PPI network of hub-shared genes
To explore the potential mechanisms of the hub-shared genes, a PPI network of the hub-shared genes was constructed using the Gene MANIA database (figure. 5). This network, contained20 cooperators of the hub-shared genes, such as mitochondrial ribosomal protein L12 (MRPL12), SEC61 translocon subunit alpha 1 (SEC61A1), and MRT4 homolog, ribosome maturation factor (MRTO4).

Figure 5: Performance Comparison of Different Biomarkers in Diagnostic Tests Across Multiple Datasets: Sensitivity-Specificity Curves and AUC Values
Association analysis of hub-shared genes and immune cell infiltration
To explore the role of the hub-shared genes in the immune microenvironment, we determined the correlation between the hub-
shared gene expression and the proportion of 22 kinds of immune cells based on the GSE28750 and GSE57345 datasets. We observed a significantly negative correlation between RRS1 and M0 macrophages as well as between IMP4 and plasma cells in the two diseases (figure. 6).

Figure 6: Comprehensive Analysis of RRS1, IMP4, and RPLP0 Expression Profiles and Their Correlations with Immune Cell Subsets in GSE28750 and GSE57345 Datasets
GSEA for hub-shared genes
To explore the potential mechanisms of the hub-shared genes, the top 5 differentially activated pathways between different expression groups of the hub-shared genes were enriched based on the GSE28750 and GSE57345 datasets. Specifically, ribosome biogenesis and RRNA metabolic processes were significantly enriched in the RRS1, IMP4, and NOP16 high-expression groups; ribosome assembly was remarkably enriched in the IMP4 and RPLP0 high-expression groups (figure. 7).

Figure 7: Enrichment analysis of gene - related processes for multiple gene sets across different datasets.
In this study, we sought to elucidate the regulatory mechanisms of hub-shared genes in sepsis and heart failure (HF), two complex diseases with
significant morbidity and mortality. By leveraging bioinformatics approaches and reducing irrelevant data, we aimed to identify potential immunological biomarkers that could predict the risk of these diseases with greater accuracy. Our research question revolved around understanding the relationship between hub-shared genes and immune cell infiltration in sepsis and HF. This study explored the shared gene signatures of sepsis and HF and elucidated their related regulatory mechanisms via integrated analysis of multiple microarray data and a series of bioinformatics analyses, ensuring that only pertinent information was considered to streamline the process. Four hub-shared genes of the two diseases were identified, including RRS1, IMP4, RPLP0, and NOP16, which had high diagnostic performance, with AUC values higher than 0.7 in the four datasets. Moreover, there was a significantly negative correlation between RRS1 and M0 macrophages and between IMP4 and plasma cells in the two diseases, and the hub-shared genes were significantly enriched in ribosome assembly and biogenesis processes. These findings reveal the common pathogenesis of the two diseases.
HF frequently emerges as a distressing symptom of organ malfunction in sepsis and septic shock scenarios. Despite this, the underlying molecular mechanisms that link sepsis to HF remain elusive. Our comprehensive research delved into the common genetic signatures shared by sepsis and HF, utilizing an integrated approach encompassing the analysis of numerous microarray datasets and a series of bioinformatics techniques, while meticulously excluding redundant or irrelevant data to enhance clarity and focus. Remarkably, we pinpointed four pivotal genes—RRS1, IMP4, RPLP0, and NOP16—that are shared by both conditions and exhibit robust diagnostic capabilities, boasting AUC values surpassing 0.7 across four distinct datasets. Furthermore, our findings indicate a noteworthy negative correlation between RRS1 and M0 macrophages, as well as between IMP4 and plasma cells, in the context of these two diseases. Intriguingly, these hub genes are significantly associated with ribosome assembly and biogenesis processes, providing deeper insights into the shared pathological pathways between sepsis and HF.
Our comprehensive research delved into the common genetic signatures shared by sepsis and HF, utilizing an integrated approach encompassing the analysis of numerous microarray datasets and a series of bioinformatics techniques. Remarkably, we pinpointed four pivotal genes—RRS1, IMP4, RPLP0, and NOP16—that are shared by both conditions and exhibit robust diagnostic capabilities, boasting AUC values surpassing 0.7 across four distinct datasets. Furthermore, our findings indicate a noteworthy negative correlation between RRS1 and M0 macrophages, as well as between IMP4 and plasma cells, in the context of these two diseases. Intriguingly, these hub genes are significantly associated with ribosome assembly and biogenesis processes. With the rapid development of microarray technology and bioinformatics analysis, expression data of thousands of genes can be quickly measured and analyzed in various diseases, which will help researchers to elucidate disease pathogenesis at the genetic level [25,26]. In this study, we for the first time explored the common mechanisms of sepsis and HF using WGCNA, which is an approach that has been widely applied to identify shared risk genes and mechanisms related to diverse disease phenotypes [27-29]. WGCNA revealed five sepsis-related modules containing 2972 genes and three HF-related modules containing 982 genes, and 170 shared genes of the two diseases were obtained by further intersection analysis. These genes may be common genetic mechanisms of sepsis and HF. To understand their possible biological function, we performed functional enrichment analysis and found that these shared genes were significantly enriched in GO biological process functions such as macrophage activation.
To understand their possible biological function, we performed functional enrichment analysis and found that these shared genes were significantly enriched in GO biological process functions such as macrophage activation. Macrophages are fundamental components of inflammatory and fibrotic responses following myocardial infarction. Abnormal macrophage activation contributes to adverse cardiac events such as exacerbated fibrosis and HF [30,31]. In addition, macrophage activation can cause release of multiple proinflammatory cytokines, such as IL-1β, IL-6 and TNF-α, and production of excessive reactive oxygen species, leading to the inflammatory cascade in sepsis [32]. Given the key role of macrophage activation in sepsis and HF, we speculate that these shared genes may contribute to sepsis and septic HF via regulation of macrophage activation. To explore the core shared genes of the two diseases, we conducted PPI analysis for the shared genes of the two diseases and subsequent expression validation using external validation datasets (GSE65682 and GSE84796). Finally, four hub-shared genes of two diseases were identified, including RRS1, IMP4, RPLP0, and NOP16, which may be core genes mediating development of sepsis and septic HF. RRS1, a ribosomal protein, has been revealed to play a key role in ribosome biosynthesis, the cell cycle, and the ribosomal stress response, which affect the p53 signaling pathway.
RRS1, a ribosomal protein, has been revealed to play a key role in ribosome biosynthesis, the cell cycle, and the ribosomal stress response, which affect the p53 signaling pathway. Aberrant expression of RRS1 is implicated in development of Huntington’s disease and multiple cancers [33]. Moreover, the p53 signaling pathway is implicated in sepsis [34], sepsis-induced cardiomyopathy [35] and HF [36,37]. However, it has not been investigated whether RRS1 contributes to sepsis and HF via the p53 signaling pathway, which merits further study. RPLP0 is also a ribosomal protein. Accumulating evidence has revealed that RPLP0 participates in multiple cancers [38,39]. RPLP0 has also been identified as a key regulator of neonatal sepsis [40]. IMP4 is a component of U3 small nucleolar ribonucleoproteins that have been shown to play significant roles at telomeres [41]. IMP4 was recently verified to be involved in the malignancy of lung cancer and is suggested to be a novel target [42,43]. NOP16, also known as HSPC111, is related to poor clinical outcomes in patients with breast cancer [44]. Moreover, GSEA showed that ribosome biogenesis and assembly processes were significantly enriched in the groups with high expression of these hub-shared genes. Ribosomes are the sites of protein synthesis, and ribosome biogenesis is associated with diverse biological functions, such as cell proliferation and apoptosis [45]. Abnormal ribosome biogenesis affects various ribosome-related diseases, such as bacterial resistance and cardiovascular diseases, and targeting ribosome biogenesis may be a potential therapy for these diseases [46]. These data indicate that these hub-shared genes may contribute to sepsis and HF by affecting ribosome biogenesis and assembly processes.
Ribosomes are the sites of protein synthesis, and ribosome biogenesis is associated with diverse biological functions, such as cell proliferation and apoptosis [45]. Abnormal ribosome biogenesis affects various ribosome-related diseases, such as bacterial resistance and cardiovascular diseases, and targeting ribosome biogenesis may be a potential therapy for these diseases [46]. These data indicate that these hub-shared genes may contribute to sepsis and HF by affecting ribosome biogenesis and assembly processes. Furthermore, these genes were found to have high diagnostic performance, with AUC values higher than 0.7 in the four datasets. Therefore, we conclude that these hub-shared genes may serve as novel diagnostic biomarkers and therapeutic targets for sepsis and HF. During sepsis, microbial infections or necrotic tissues can release harmful substances, leading to excessive activation of immune cells [47]. Indeed, various immune cells, such as neutrophils and macrophages, are involved in the pathogenesis of sepsis [48]. Reinhart,Bauer,Riedemann & Hartog [49] demonstrated that immunological biomarkers can be used to predict the outcome of sepsis. In addition, immune cells are implicated in various cardiovascular diseases, including HF [50], and these immune cells have been used as therapeutic targets for HF [51]. To explore the regulatory mechanism of hub-shared genes, we explored the correlation between hub-shared genes and immune cell infiltration in two diseases in this study and found a significantly negative correlation between RRS1 and M0 macrophages and between IMP4 and plasma cells in the two diseases.
In addition, immune cells are implicated in various cardiovascular diseases, including HF [50], and these immune cells have been used as therapeutic targets for HF [51]. To explore the regulatory mechanism of hub-shared genes, we explored the correlation between hub-shared genes and immune cell infiltration in two diseases in this study and found a significantly negative correlation between RRS1 and M0 macrophages and between IMP4 and plasma cells in the two diseases. These data suggest that RRS1 and IMP4 may participate in the pathogenesis of sepsis and HF by regulating M0 macrophages and plasma cells, respectively. RRS1 and IMP4 are potential immunological biomarkers to predict the risk of the two diseases. However, this study was performed based on pure bioinformatics analysis, without experimental validations. Our study has identified key genes and pathways potentially underlying the shared molecular mechanisms between sepsis and heart failure through integrated bioinformatics analysis. This study identifies RRS1, IMP4, RPLP0, and NOP16 as potential key regulators in sepsis and heart failure, suggesting they may lead to more precise diagnostic and treatment methods, especially for septic heart failure, with future research focusing on validating these genes and translating the findings into clinical practice.
Data availability
The sepsis-related gene expression profiles GSE28750 and GSE65682 and HF-related gene expression profiles GSE57345 and GSE84796 were downloaded from the NCBI Gene Expression Omnibus (GEO) (Barrett et al. 2013) database. GSE28750 and GSE57345 were utilized as discovery datasets, whereas GSE65682 and GSE84796 were used as validation datasets.
The GSE84796 dataset includes 21 sepsis and 20 control samples, the GSE65682 dataset 760 sepsis and 42 control samples, the GSE57345 dataset 177 HF and 136 control samples, and the GSE84796 dataset 10 HF and 7 control samples. The mRNA probe expression matrix and corresponding platform annotation file were also downloaded. Gene symbol transformation was performed, and probes that did not match the gene symbol were removed. For different probes mapped to the same gene, the average value was taken as the expression value of the gene.
Code availability
| R | Version:R-4.2.0 https://cran.r-project.org/bin/windows/base/old/4.2.0/ | 2022-09 |
| WGCNA | Version:WGCNA_1.71 | 2022-09 |
| STRING | Version:11.0 https://cn.string-db.org/ | 2022-09 |
| Cytoscape | Version:3.9.2 https://cytoscape.org/ | 2022-09 |
| GSEA | Version:4.2.3 https://www.gsea-msigdb.org/gsea/index.jsp | 2022-09 |
We gratefully acknowledge the kind cooperation of Dr Tao Luo, Department of Anaesthesiology, Peking University Shenzhen Hospital, in the preparation and modification of this manuscript.
Ethics Approval and Consent to Participate
The data used in this analysis are downloaded from the public database GEO, therefore, ethical approval is not applicable and informed patient consent is not required.
Consent to participate
Yes,
Consent to publish
Yes,
Funding Information: This work was supported by the Shenzhen Scientific Innovation Committee [grant number JCYJ20220531093614033, JCYJ20220530152005013, JCYJ20190806160409142].
Clearly Auctoresonline and particularly Psychology and Mental Health Care Journal is dedicated to improving health care services for individuals and populations. The editorial boards' ability to efficiently recognize and share the global importance of health literacy with a variety of stakeholders. Auctoresonline publishing platform can be used to facilitate of optimal client-based services and should be added to health care professionals' repertoire of evidence-based health care resources.
Journal of Clinical Cardiology and Cardiovascular Intervention The submission and review process was adequate. However I think that the publication total value should have been enlightened in early fases. Thank you for all.
Journal of Women Health Care and Issues By the present mail, I want to say thank to you and tour colleagues for facilitating my published article. Specially thank you for the peer review process, support from the editorial office. I appreciate positively the quality of your journal.
Journal of Clinical Research and Reports I would be very delighted to submit my testimonial regarding the reviewer board and the editorial office. The reviewer board were accurate and helpful regarding any modifications for my manuscript. And the editorial office were very helpful and supportive in contacting and monitoring with any update and offering help. It was my pleasure to contribute with your promising Journal and I am looking forward for more collaboration.
We would like to thank the Journal of Thoracic Disease and Cardiothoracic Surgery because of the services they provided us for our articles. The peer-review process was done in a very excellent time manner, and the opinions of the reviewers helped us to improve our manuscript further. The editorial office had an outstanding correspondence with us and guided us in many ways. During a hard time of the pandemic that is affecting every one of us tremendously, the editorial office helped us make everything easier for publishing scientific work. Hope for a more scientific relationship with your Journal.
The peer-review process which consisted high quality queries on the paper. I did answer six reviewers’ questions and comments before the paper was accepted. The support from the editorial office is excellent.
Journal of Neuroscience and Neurological Surgery. I had the experience of publishing a research article recently. The whole process was simple from submission to publication. The reviewers made specific and valuable recommendations and corrections that improved the quality of my publication. I strongly recommend this Journal.
Dr. Katarzyna Byczkowska My testimonial covering: "The peer review process is quick and effective. The support from the editorial office is very professional and friendly. Quality of the Clinical Cardiology and Cardiovascular Interventions is scientific and publishes ground-breaking research on cardiology that is useful for other professionals in the field.
Thank you most sincerely, with regard to the support you have given in relation to the reviewing process and the processing of my article entitled "Large Cell Neuroendocrine Carcinoma of The Prostate Gland: A Review and Update" for publication in your esteemed Journal, Journal of Cancer Research and Cellular Therapeutics". The editorial team has been very supportive.
Testimony of Journal of Clinical Otorhinolaryngology: work with your Reviews has been a educational and constructive experience. The editorial office were very helpful and supportive. It was a pleasure to contribute to your Journal.
Dr. Bernard Terkimbi Utoo, I am happy to publish my scientific work in Journal of Women Health Care and Issues (JWHCI). The manuscript submission was seamless and peer review process was top notch. I was amazed that 4 reviewers worked on the manuscript which made it a highly technical, standard and excellent quality paper. I appreciate the format and consideration for the APC as well as the speed of publication. It is my pleasure to continue with this scientific relationship with the esteem JWHCI.
This is an acknowledgment for peer reviewers, editorial board of Journal of Clinical Research and Reports. They show a lot of consideration for us as publishers for our research article “Evaluation of the different factors associated with side effects of COVID-19 vaccination on medical students, Mutah university, Al-Karak, Jordan”, in a very professional and easy way. This journal is one of outstanding medical journal.
Dear Hao Jiang, to Journal of Nutrition and Food Processing We greatly appreciate the efficient, professional and rapid processing of our paper by your team. If there is anything else we should do, please do not hesitate to let us know. On behalf of my co-authors, we would like to express our great appreciation to editor and reviewers.
As an author who has recently published in the journal "Brain and Neurological Disorders". I am delighted to provide a testimonial on the peer review process, editorial office support, and the overall quality of the journal. The peer review process at Brain and Neurological Disorders is rigorous and meticulous, ensuring that only high-quality, evidence-based research is published. The reviewers are experts in their fields, and their comments and suggestions were constructive and helped improve the quality of my manuscript. The review process was timely and efficient, with clear communication from the editorial office at each stage. The support from the editorial office was exceptional throughout the entire process. The editorial staff was responsive, professional, and always willing to help. They provided valuable guidance on formatting, structure, and ethical considerations, making the submission process seamless. Moreover, they kept me informed about the status of my manuscript and provided timely updates, which made the process less stressful. The journal Brain and Neurological Disorders is of the highest quality, with a strong focus on publishing cutting-edge research in the field of neurology. The articles published in this journal are well-researched, rigorously peer-reviewed, and written by experts in the field. The journal maintains high standards, ensuring that readers are provided with the most up-to-date and reliable information on brain and neurological disorders. In conclusion, I had a wonderful experience publishing in Brain and Neurological Disorders. The peer review process was thorough, the editorial office provided exceptional support, and the journal's quality is second to none. I would highly recommend this journal to any researcher working in the field of neurology and brain disorders.
Dear Agrippa Hilda, Journal of Neuroscience and Neurological Surgery, Editorial Coordinator, I trust this message finds you well. I want to extend my appreciation for considering my article for publication in your esteemed journal. I am pleased to provide a testimonial regarding the peer review process and the support received from your editorial office. The peer review process for my paper was carried out in a highly professional and thorough manner. The feedback and comments provided by the authors were constructive and very useful in improving the quality of the manuscript. This rigorous assessment process undoubtedly contributes to the high standards maintained by your journal.
International Journal of Clinical Case Reports and Reviews. I strongly recommend to consider submitting your work to this high-quality journal. The support and availability of the Editorial staff is outstanding and the review process was both efficient and rigorous.
Thank you very much for publishing my Research Article titled “Comparing Treatment Outcome Of Allergic Rhinitis Patients After Using Fluticasone Nasal Spray And Nasal Douching" in the Journal of Clinical Otorhinolaryngology. As Medical Professionals we are immensely benefited from study of various informative Articles and Papers published in this high quality Journal. I look forward to enriching my knowledge by regular study of the Journal and contribute my future work in the field of ENT through the Journal for use by the medical fraternity. The support from the Editorial office was excellent and very prompt. I also welcome the comments received from the readers of my Research Article.
Dear Erica Kelsey, Editorial Coordinator of Cancer Research and Cellular Therapeutics Our team is very satisfied with the processing of our paper by your journal. That was fast, efficient, rigorous, but without unnecessary complications. We appreciated the very short time between the submission of the paper and its publication on line on your site.
I am very glad to say that the peer review process is very successful and fast and support from the Editorial Office. Therefore, I would like to continue our scientific relationship for a long time. And I especially thank you for your kindly attention towards my article. Have a good day!
"We recently published an article entitled “Influence of beta-Cyclodextrins upon the Degradation of Carbofuran Derivatives under Alkaline Conditions" in the Journal of “Pesticides and Biofertilizers” to show that the cyclodextrins protect the carbamates increasing their half-life time in the presence of basic conditions This will be very helpful to understand carbofuran behaviour in the analytical, agro-environmental and food areas. We greatly appreciated the interaction with the editor and the editorial team; we were particularly well accompanied during the course of the revision process, since all various steps towards publication were short and without delay".
I would like to express my gratitude towards you process of article review and submission. I found this to be very fair and expedient. Your follow up has been excellent. I have many publications in national and international journal and your process has been one of the best so far. Keep up the great work.
We are grateful for this opportunity to provide a glowing recommendation to the Journal of Psychiatry and Psychotherapy. We found that the editorial team were very supportive, helpful, kept us abreast of timelines and over all very professional in nature. The peer review process was rigorous, efficient and constructive that really enhanced our article submission. The experience with this journal remains one of our best ever and we look forward to providing future submissions in the near future.
I am very pleased to serve as EBM of the journal, I hope many years of my experience in stem cells can help the journal from one way or another. As we know, stem cells hold great potential for regenerative medicine, which are mostly used to promote the repair response of diseased, dysfunctional or injured tissue using stem cells or their derivatives. I think Stem Cell Research and Therapeutics International is a great platform to publish and share the understanding towards the biology and translational or clinical application of stem cells.
I would like to give my testimony in the support I have got by the peer review process and to support the editorial office where they were of asset to support young author like me to be encouraged to publish their work in your respected journal and globalize and share knowledge across the globe. I really give my great gratitude to your journal and the peer review including the editorial office.
I am delighted to publish our manuscript entitled "A Perspective on Cocaine Induced Stroke - Its Mechanisms and Management" in the Journal of Neuroscience and Neurological Surgery. The peer review process, support from the editorial office, and quality of the journal are excellent. The manuscripts published are of high quality and of excellent scientific value. I recommend this journal very much to colleagues.
Dr.Tania Muñoz, My experience as researcher and author of a review article in The Journal Clinical Cardiology and Interventions has been very enriching and stimulating. The editorial team is excellent, performs its work with absolute responsibility and delivery. They are proactive, dynamic and receptive to all proposals. Supporting at all times the vast universe of authors who choose them as an option for publication. The team of review specialists, members of the editorial board, are brilliant professionals, with remarkable performance in medical research and scientific methodology. Together they form a frontline team that consolidates the JCCI as a magnificent option for the publication and review of high-level medical articles and broad collective interest. I am honored to be able to share my review article and open to receive all your comments.
“The peer review process of JPMHC is quick and effective. Authors are benefited by good and professional reviewers with huge experience in the field of psychology and mental health. The support from the editorial office is very professional. People to contact to are friendly and happy to help and assist any query authors might have. Quality of the Journal is scientific and publishes ground-breaking research on mental health that is useful for other professionals in the field”.
Dear editorial department: On behalf of our team, I hereby certify the reliability and superiority of the International Journal of Clinical Case Reports and Reviews in the peer review process, editorial support, and journal quality. Firstly, the peer review process of the International Journal of Clinical Case Reports and Reviews is rigorous, fair, transparent, fast, and of high quality. The editorial department invites experts from relevant fields as anonymous reviewers to review all submitted manuscripts. These experts have rich academic backgrounds and experience, and can accurately evaluate the academic quality, originality, and suitability of manuscripts. The editorial department is committed to ensuring the rigor of the peer review process, while also making every effort to ensure a fast review cycle to meet the needs of authors and the academic community. Secondly, the editorial team of the International Journal of Clinical Case Reports and Reviews is composed of a group of senior scholars and professionals with rich experience and professional knowledge in related fields. The editorial department is committed to assisting authors in improving their manuscripts, ensuring their academic accuracy, clarity, and completeness. Editors actively collaborate with authors, providing useful suggestions and feedback to promote the improvement and development of the manuscript. We believe that the support of the editorial department is one of the key factors in ensuring the quality of the journal. Finally, the International Journal of Clinical Case Reports and Reviews is renowned for its high- quality articles and strict academic standards. The editorial department is committed to publishing innovative and academically valuable research results to promote the development and progress of related fields. The International Journal of Clinical Case Reports and Reviews is reasonably priced and ensures excellent service and quality ratio, allowing authors to obtain high-level academic publishing opportunities in an affordable manner. I hereby solemnly declare that the International Journal of Clinical Case Reports and Reviews has a high level of credibility and superiority in terms of peer review process, editorial support, reasonable fees, and journal quality. Sincerely, Rui Tao.
Clinical Cardiology and Cardiovascular Interventions I testity the covering of the peer review process, support from the editorial office, and quality of the journal.
Clinical Cardiology and Cardiovascular Interventions, we deeply appreciate the interest shown in our work and its publication. It has been a true pleasure to collaborate with you. The peer review process, as well as the support provided by the editorial office, have been exceptional, and the quality of the journal is very high, which was a determining factor in our decision to publish with you.
The peer reviewers process is quick and effective, the supports from editorial office is excellent, the quality of journal is high. I would like to collabroate with Internatioanl journal of Clinical Case Reports and Reviews journal clinically in the future time.
Clinical Cardiology and Cardiovascular Interventions, I would like to express my sincerest gratitude for the trust placed in our team for the publication in your journal. It has been a true pleasure to collaborate with you on this project. I am pleased to inform you that both the peer review process and the attention from the editorial coordination have been excellent. Your team has worked with dedication and professionalism to ensure that your publication meets the highest standards of quality. We are confident that this collaboration will result in mutual success, and we are eager to see the fruits of this shared effort.
Dear Dr. Jessica Magne, Editorial Coordinator 0f Clinical Cardiology and Cardiovascular Interventions, I hope this message finds you well. I want to express my utmost gratitude for your excellent work and for the dedication and speed in the publication process of my article titled "Navigating Innovation: Qualitative Insights on Using Technology for Health Education in Acute Coronary Syndrome Patients." I am very satisfied with the peer review process, the support from the editorial office, and the quality of the journal. I hope we can maintain our scientific relationship in the long term.
Dear Monica Gissare, - Editorial Coordinator of Nutrition and Food Processing. ¨My testimony with you is truly professional, with a positive response regarding the follow-up of the article and its review, you took into account my qualities and the importance of the topic¨.
Dear Dr. Jessica Magne, Editorial Coordinator 0f Clinical Cardiology and Cardiovascular Interventions, The review process for the article “The Handling of Anti-aggregants and Anticoagulants in the Oncologic Heart Patient Submitted to Surgery” was extremely rigorous and detailed. From the initial submission to the final acceptance, the editorial team at the “Journal of Clinical Cardiology and Cardiovascular Interventions” demonstrated a high level of professionalism and dedication. The reviewers provided constructive and detailed feedback, which was essential for improving the quality of our work. Communication was always clear and efficient, ensuring that all our questions were promptly addressed. The quality of the “Journal of Clinical Cardiology and Cardiovascular Interventions” is undeniable. It is a peer-reviewed, open-access publication dedicated exclusively to disseminating high-quality research in the field of clinical cardiology and cardiovascular interventions. The journal's impact factor is currently under evaluation, and it is indexed in reputable databases, which further reinforces its credibility and relevance in the scientific field. I highly recommend this journal to researchers looking for a reputable platform to publish their studies.
Dear Editorial Coordinator of the Journal of Nutrition and Food Processing! "I would like to thank the Journal of Nutrition and Food Processing for including and publishing my article. The peer review process was very quick, movement and precise. The Editorial Board has done an extremely conscientious job with much help, valuable comments and advices. I find the journal very valuable from a professional point of view, thank you very much for allowing me to be part of it and I would like to participate in the future!”
Dealing with The Journal of Neurology and Neurological Surgery was very smooth and comprehensive. The office staff took time to address my needs and the response from editors and the office was prompt and fair. I certainly hope to publish with this journal again.Their professionalism is apparent and more than satisfactory. Susan Weiner
My Testimonial Covering as fellowing: Lin-Show Chin. The peer reviewers process is quick and effective, the supports from editorial office is excellent, the quality of journal is high. I would like to collabroate with Internatioanl journal of Clinical Case Reports and Reviews.
My experience publishing in Psychology and Mental Health Care was exceptional. The peer review process was rigorous and constructive, with reviewers providing valuable insights that helped enhance the quality of our work. The editorial team was highly supportive and responsive, making the submission process smooth and efficient. The journal's commitment to high standards and academic rigor makes it a respected platform for quality research. I am grateful for the opportunity to publish in such a reputable journal.
My experience publishing in International Journal of Clinical Case Reports and Reviews was exceptional. I Come forth to Provide a Testimonial Covering the Peer Review Process and the editorial office for the Professional and Impartial Evaluation of the Manuscript.
I would like to offer my testimony in the support. I have received through the peer review process and support the editorial office where they are to support young authors like me, encourage them to publish their work in your esteemed journals, and globalize and share knowledge globally. I really appreciate your journal, peer review, and editorial office.
Dear Agrippa Hilda- Editorial Coordinator of Journal of Neuroscience and Neurological Surgery, "The peer review process was very quick and of high quality, which can also be seen in the articles in the journal. The collaboration with the editorial office was very good."
I would like to express my sincere gratitude for the support and efficiency provided by the editorial office throughout the publication process of my article, “Delayed Vulvar Metastases from Rectal Carcinoma: A Case Report.” I greatly appreciate the assistance and guidance I received from your team, which made the entire process smooth and efficient. The peer review process was thorough and constructive, contributing to the overall quality of the final article. I am very grateful for the high level of professionalism and commitment shown by the editorial staff, and I look forward to maintaining a long-term collaboration with the International Journal of Clinical Case Reports and Reviews.
To Dear Erin Aust, I would like to express my heartfelt appreciation for the opportunity to have my work published in this esteemed journal. The entire publication process was smooth and well-organized, and I am extremely satisfied with the final result. The Editorial Team demonstrated the utmost professionalism, providing prompt and insightful feedback throughout the review process. Their clear communication and constructive suggestions were invaluable in enhancing my manuscript, and their meticulous attention to detail and dedication to quality are truly commendable. Additionally, the support from the Editorial Office was exceptional. From the initial submission to the final publication, I was guided through every step of the process with great care and professionalism. The team's responsiveness and assistance made the entire experience both easy and stress-free. I am also deeply impressed by the quality and reputation of the journal. It is an honor to have my research featured in such a respected publication, and I am confident that it will make a meaningful contribution to the field.
"I am grateful for the opportunity of contributing to [International Journal of Clinical Case Reports and Reviews] and for the rigorous review process that enhances the quality of research published in your esteemed journal. I sincerely appreciate the time and effort of your team who have dedicatedly helped me in improvising changes and modifying my manuscript. The insightful comments and constructive feedback provided have been invaluable in refining and strengthening my work".
I thank the ‘Journal of Clinical Research and Reports’ for accepting this article for publication. This is a rigorously peer reviewed journal which is on all major global scientific data bases. I note the review process was prompt, thorough and professionally critical. It gave us an insight into a number of important scientific/statistical issues. The review prompted us to review the relevant literature again and look at the limitations of the study. The peer reviewers were open, clear in the instructions and the editorial team was very prompt in their communication. This journal certainly publishes quality research articles. I would recommend the journal for any future publications.
Dear Jessica Magne, with gratitude for the joint work. Fast process of receiving and processing the submitted scientific materials in “Clinical Cardiology and Cardiovascular Interventions”. High level of competence of the editors with clear and correct recommendations and ideas for enriching the article.
We found the peer review process quick and positive in its input. The support from the editorial officer has been very agile, always with the intention of improving the article and taking into account our subsequent corrections.
My article, titled 'No Way Out of the Smartphone Epidemic Without Considering the Insights of Brain Research,' has been republished in the International Journal of Clinical Case Reports and Reviews. The review process was seamless and professional, with the editors being both friendly and supportive. I am deeply grateful for their efforts.
To Dear Erin Aust – Editorial Coordinator of Journal of General Medicine and Clinical Practice! I declare that I am absolutely satisfied with your work carried out with great competence in following the manuscript during the various stages from its receipt, during the revision process to the final acceptance for publication. Thank Prof. Elvira Farina
Dear Jessica, and the super professional team of the ‘Clinical Cardiology and Cardiovascular Interventions’ I am sincerely grateful to the coordinated work of the journal team for the no problem with the submission of my manuscript: “Cardiometabolic Disorders in A Pregnant Woman with Severe Preeclampsia on the Background of Morbid Obesity (Case Report).” The review process by 5 experts was fast, and the comments were professional, which made it more specific and academic, and the process of publication and presentation of the article was excellent. I recommend that my colleagues publish articles in this journal, and I am interested in further scientific cooperation. Sincerely and best wishes, Dr. Oleg Golyanovskiy.
Dear Ashley Rosa, Editorial Coordinator of the journal - Psychology and Mental Health Care. " The process of obtaining publication of my article in the Psychology and Mental Health Journal was positive in all areas. The peer review process resulted in a number of valuable comments, the editorial process was collaborative and timely, and the quality of this journal has been quickly noticed, resulting in alternative journals contacting me to publish with them." Warm regards, Susan Anne Smith, PhD. Australian Breastfeeding Association.
Dear Jessica Magne, Editorial Coordinator, Clinical Cardiology and Cardiovascular Interventions, Auctores Publishing LLC. I appreciate the journal (JCCI) editorial office support, the entire team leads were always ready to help, not only on technical front but also on thorough process. Also, I should thank dear reviewers’ attention to detail and creative approach to teach me and bring new insights by their comments. Surely, more discussions and introduction of other hemodynamic devices would provide better prevention and management of shock states. Your efforts and dedication in presenting educational materials in this journal are commendable. Best wishes from, Farahnaz Fallahian.
Dear Maria Emerson, Editorial Coordinator, International Journal of Clinical Case Reports and Reviews, Auctores Publishing LLC. I am delighted to have published our manuscript, "Acute Colonic Pseudo-Obstruction (ACPO): A rare but serious complication following caesarean section." I want to thank the editorial team, especially Maria Emerson, for their prompt review of the manuscript, quick responses to queries, and overall support. Yours sincerely Dr. Victor Olagundoye.
Dear Ashley Rosa, Editorial Coordinator, International Journal of Clinical Case Reports and Reviews. Many thanks for publishing this manuscript after I lost confidence the editors were most helpful, more than other journals Best wishes from, Susan Anne Smith, PhD. Australian Breastfeeding Association.
Dear Agrippa Hilda, Editorial Coordinator, Journal of Neuroscience and Neurological Surgery. The entire process including article submission, review, revision, and publication was extremely easy. The journal editor was prompt and helpful, and the reviewers contributed to the quality of the paper. Thank you so much! Eric Nussbaum, MD
Dr Hala Al Shaikh This is to acknowledge that the peer review process for the article ’ A Novel Gnrh1 Gene Mutation in Four Omani Male Siblings, Presentation and Management ’ sent to the International Journal of Clinical Case Reports and Reviews was quick and smooth. The editorial office was prompt with easy communication.
Dear Erin Aust, Editorial Coordinator, Journal of General Medicine and Clinical Practice. We are pleased to share our experience with the “Journal of General Medicine and Clinical Practice”, following the successful publication of our article. The peer review process was thorough and constructive, helping to improve the clarity and quality of the manuscript. We are especially thankful to Ms. Erin Aust, the Editorial Coordinator, for her prompt communication and continuous support throughout the process. Her professionalism ensured a smooth and efficient publication experience. The journal upholds high editorial standards, and we highly recommend it to fellow researchers seeking a credible platform for their work. Best wishes By, Dr. Rakhi Mishra.
Dear Jessica Magne, Editorial Coordinator, Clinical Cardiology and Cardiovascular Interventions, Auctores Publishing LLC. The peer review process of the journal of Clinical Cardiology and Cardiovascular Interventions was excellent and fast, as was the support of the editorial office and the quality of the journal. Kind regards Walter F. Riesen Prof. Dr. Dr. h.c. Walter F. Riesen.
Dear Ashley Rosa, Editorial Coordinator, International Journal of Clinical Case Reports and Reviews, Auctores Publishing LLC. Thank you for publishing our article, Exploring Clozapine's Efficacy in Managing Aggression: A Multiple Single-Case Study in Forensic Psychiatry in the international journal of clinical case reports and reviews. We found the peer review process very professional and efficient. The comments were constructive, and the whole process was efficient. On behalf of the co-authors, I would like to thank you for publishing this article. With regards, Dr. Jelle R. Lettinga.
Dear Clarissa Eric, Editorial Coordinator, Journal of Clinical Case Reports and Studies, I would like to express my deep admiration for the exceptional professionalism demonstrated by your journal. I am thoroughly impressed by the speed of the editorial process, the substantive and insightful reviews, and the meticulous preparation of the manuscript for publication. Additionally, I greatly appreciate the courteous and immediate responses from your editorial office to all my inquiries. Best Regards, Dariusz Ziora
Dear Chrystine Mejia, Editorial Coordinator, Journal of Neurodegeneration and Neurorehabilitation, Auctores Publishing LLC, We would like to thank the editorial team for the smooth and high-quality communication leading up to the publication of our article in the Journal of Neurodegeneration and Neurorehabilitation. The reviewers have extensive knowledge in the field, and their relevant questions helped to add value to our publication. Kind regards, Dr. Ravi Shrivastava.
Dear Clarissa Eric, Editorial Coordinator, Journal of Clinical Case Reports and Studies, Auctores Publishing LLC, USA Office: +1-(302)-520-2644. I would like to express my sincere appreciation for the efficient and professional handling of my case report by the ‘Journal of Clinical Case Reports and Studies’. The peer review process was not only fast but also highly constructive—the reviewers’ comments were clear, relevant, and greatly helped me improve the quality and clarity of my manuscript. I also received excellent support from the editorial office throughout the process. Communication was smooth and timely, and I felt well guided at every stage, from submission to publication. The overall quality and rigor of the journal are truly commendable. I am pleased to have published my work with Journal of Clinical Case Reports and Studies, and I look forward to future opportunities for collaboration. Sincerely, Aline Tollet, UCLouvain.
Dear Ms. Mayra Duenas, Editorial Coordinator, International Journal of Clinical Case Reports and Reviews. “The International Journal of Clinical Case Reports and Reviews represented the “ideal house” to share with the research community a first experience with the use of the Simeox device for speech rehabilitation. High scientific reputation and attractive website communication were first determinants for the selection of this Journal, and the following submission process exceeded expectations: fast but highly professional peer review, great support by the editorial office, elegant graphic layout. Exactly what a dynamic research team - also composed by allied professionals - needs!" From, Chiara Beccaluva, PT - Italy.
Dear Maria Emerson, Editorial Coordinator, we have deeply appreciated the professionalism demonstrated by the International Journal of Clinical Case Reports and Reviews. The reviewers have extensive knowledge of our field and have been very efficient and fast in supporting the process. I am really looking forward to further collaboration. Thanks. Best regards, Dr. Claudio Ligresti
Dear Chrystine Mejia, Editorial Coordinator, Journal of Neurodegeneration and Neurorehabilitation. “The peer review process was efficient and constructive, and the editorial office provided excellent communication and support throughout. The journal ensures scientific rigor and high editorial standards, while also offering a smooth and timely publication process. We sincerely appreciate the work of the editorial team in facilitating the dissemination of innovative approaches such as the Bonori Method.” Best regards, Dr. Matteo Bonori.
I recommend without hesitation submitting relevant papers on medical decision making to the International Journal of Clinical Case Reports and Reviews. I am very grateful to the editorial staff. Maria Emerson was a pleasure to communicate with. The time from submission to publication was an extremely short 3 weeks. The editorial staff submitted the paper to three reviewers. Two of the reviewers commented positively on the value of publishing the paper. The editorial staff quickly recognized the third reviewer’s comments as an unjust attempt to reject the paper. I revised the paper as recommended by the first two reviewers.
Dear Maria Emerson, Editorial Coordinator, Journal of Clinical Research and Reports. Thank you for publishing our case report: "Clinical Case of Effective Fetal Stem Cells Treatment in a Patient with Autism Spectrum Disorder" within the "Journal of Clinical Research and Reports" being submitted by the team of EmCell doctors from Kyiv, Ukraine. We much appreciate a professional and transparent peer-review process from Auctores. All research Doctors are so grateful to your Editorial Office and Auctores Publishing support! I amiably wish our article publication maintained a top quality of your International Scientific Journal. My best wishes for a prosperity of the Journal of Clinical Research and Reports. Hope our scientific relationship and cooperation will remain long lasting. Thank you very much indeed. Kind regards, Dr. Andriy Sinelnyk Cell Therapy Center EmCell
Dear Editorial Team, Clinical Cardiology and Cardiovascular Interventions. It was truly a rewarding experience to work with the journal “Clinical Cardiology and Cardiovascular Interventions”. The peer review process was insightful and encouraging, helping us refine our work to a higher standard. The editorial office offered exceptional support with prompt and thoughtful communication. I highly value the journal’s role in promoting scientific advancement and am honored to be part of it. Best regards, Meng-Jou Lee, MD, Department of Anesthesiology, National Taiwan University Hospital.
Dear Editorial Team, Journal-Clinical Cardiology and Cardiovascular Interventions, “Publishing my article with Clinical Cardiology and Cardiovascular Interventions has been a highly positive experience. The peer-review process was rigorous yet supportive, offering valuable feedback that strengthened my work. The editorial team demonstrated exceptional professionalism, prompt communication, and a genuine commitment to maintaining the highest scientific standards. I am very pleased with the publication quality and proud to be associated with such a reputable journal.” Warm regards, Dr. Mahmoud Kamal Moustafa Ahmed
Dear Maria Emerson, Editorial Coordinator of ‘International Journal of Clinical Case Reports and Reviews’, I appreciate the opportunity to publish my article with your journal. The editorial office provided clear communication during the submission and review process, and I found the overall experience professional and constructive. Best regards, Elena Salvatore.
Dear Mayra Duenas, Editorial Coordinator of ‘International Journal of Clinical Case Reports and Reviews Herewith I confirm an optimal peer review process and a great support of the editorial office of the present journal
Dear Editorial Team, Clinical Cardiology and Cardiovascular Interventions. I am really grateful for the peers review; their feedback gave me the opportunity to reflect on the message and impact of my work and to ameliorate the article. The editors did a great job in addition by encouraging me to continue with the process of publishing.
Dear Cecilia Lilly, Editorial Coordinator, Endocrinology and Disorders, Thank you so much for your quick response regarding reviewing and all process till publishing our manuscript entitled: Prevalence of Pre-Diabetes and its Associated Risk Factors Among Nile College Students, Sudan. Best regards, Dr Mamoun Magzoub.